President Trump has announced sweeping tariffs against most of the United States’ leading trading partners. Many nations have indicated that they will retaliate (see running updates compiled by the Global Trade Alert), and international trade flows may be severely disrupted.
The Procurement Exception
There is, however, an important tariff exception for federal procurement. When foreign goods are imported for sale to the U.S. government, if proper procedures are followed, the goods may be free from tariffs, per longstanding U.S. regulations. For information on U.S. agencies’ exemptions from tariffs in their procurements, see the analysis compiled here.
Were the Tariffs Properly Calculated?

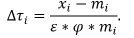
Were the U.S. tariffs improperly calculated? The U.S. Trade Representative (USTR) has published the formula (at left) used to calculate the tariffs announced on “Liberation Day,” April 2, 2025. (The vast popular importance of this formula was confirmed when it became the subject of a Saturday Night Live comedy sketch on April 5, 2025.) The formula, described in the box below, was used (according to the USTR) to calculate tariff rates at the rate necessary to “zero-out” persistent trade deficits.
The USTR calculated the tariff rates as follows, referencing the formula below: “Consider an environment in which the U.S. levies a tariff of rate τ_i on country i and ∆τ_i reflects the change in the tariff rate. Let ε<0 represent the elasticity of imports with respect to import prices, let φ>0 represent the passthrough from tariffs to import prices, let m_i>0 represent total imports from country i, and let x_i>0 represent total exports. Then the decrease in imports due to a change in tariffs equals ∆τ_i*ε*φ*m_i<0. Assuming that offsetting exchange rate and general equilibrium effects are small enough to be ignored, the reciprocal tariff that results in a bilateral trade balance of zero satisfies.”
A number of experts from around the world have criticized the formula and the values used in the formula:
- As the graphic from USA Today/AFP below shows, because the Trump administration assumed the value of “ε” (the elasticity of imports with respect to import prices) was 4, and the value of “φ” (the passthrough of tariffs to consumer prices) was set at .25, the equation neutralized those elements — essentially leaving the equation one of dividing the trade balance (“x” (exports) minus “m” (imports) divided by “m” (imports)), and dividing the quotient by 2.

- As CNN noted, quoting Mike O’Rourke from Jones Trading, “‘While these new tariff measures have been framed as “reciprocal” tariffs, it turns out the policy is actually one of surplus targeting [i.e., aiming to “zero out” trade deficits]. . . . ‘There does not appear to have been any tariffs used in the calculation of the rate. The Trump administration is specifically targeting nations with large trade surpluses with the United States relative to their exports to the United States.'”
- Senior economists Kevin Corinth and Stan Veuger at the American Enterprise Institute offered the following example to explain how the Trump reciprocal tariffs were calculated: “As an example, if the US imports $100 million worth of goods and services while exporting $50 million to a country, then the Trump Administration alleges that country levies a 50 percent tariff on the United States (the difference between $100 million and $50 million, divided by $100 million). The ‘reciprocal’ tariff put into effect by President Trump . . . would be half of that, 25 percent.”
- The AEI economists argued that the formula used by the Trump administration was incorrect in assuming that “φ” (the passthrough from tariffs to import prices) was .25. They noted that “the elasticity of import prices with respect to tariffs should be about one (actually 0.945), not 0.25 as the Trump Administration states.” The Trump administration officials’ mistake, the economists said, “is that they base the elasticity on the response of retail prices to tariffs, as opposed to import prices as they should have done. . . . It is inconsistent to multiply the elasticity of import demand with respect to import prices by the elasticity of retail prices with respect to tariffs.” If the tariff rates were corrected, the AEI economists wrote, the corrected rates (assuming the 10 percent floor imposed by President Trump) would (for example) top out at 13.2% for Lesotho (compared to the current top rate of 50%); the rate for China would drop from 34% (which triggered massive retaliation from China) to 10% (the lowest rate allowed by the Trump policy).
Could Tariffs Replace Income Taxes?
One of the open questions surrounding the Trump tariffs is whether tariffs, if raised high enough, could replace U.S. income taxes. Economists Simon Evenett and Marc-Andreas Muendler concluded the answer is no: “Until the late 19th century, states raised most of their government revenues from import tariffs. Could the practice work today? A side effect of taxes is that they discourage the economic activity that they are assessed on. Tariffs are taxes on imports and no different: they shrink trade. [In their study they] allow tariff revenues to change an economy’s savings and therefore the trade balance, as the U.S. administration intends. Then the displacement effect of import tariffs is so strong that tariff revenues cannot plausibly fund more than a few days of annual U.S. government spending.“
Tariffs on U.S. Services Exports
Another open issue is whether U.S. services — which normally enjoy a substantial trade surplus — might be subject to reciprocal and severe tariffs abroad. A study published by Simon Evenett and Fernando Martín Espejo shows that the U.S. Trade Representative’s formula for reciprocal tariffs, if turned about and applied by foreign nations to U.S. services exports, might result in much steeper tariffs against U.S.-based firms, if the practical barriers to imposing tariffs on services could be resolved.
On February 21, 2025, GW Law’s Government Procurement Law Program held a webinar on rising U.S. and EU protectionism, which discussed recent caselaw in the EU Court of Justice and the Trump tariffs.


